K-均值聚类(K-means)概述
1. 聚类
“类”指的是具有相似性的集合。聚类是指将数据集划分为若干类,使得类内之间的数据最为相似,各类之间的数据相似度差别尽可能大。聚类分析就是以相似性为基础,对数据集进行聚类划分,属于无监督学习。
2. 无监督学习和监督学习
上一篇对KNN进行了验证,和KNN所不同,K-均值聚类属于无监督学习。那么监督学习和无监督学习的区别在哪儿呢?监督学习知道从对象(数据)中学习什么,而无监督学习无需知道所要搜寻的目标,它是根据算法得到数据的共同特征。比如用分类和聚类来说,分类事先就知道所要得到的类别,而聚类则不一样,只是以相似度为基础,将对象分得不同的簇。
3. K-means
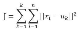
k-means算法是一种简单的迭代型聚类算法,采用距离作为相似性指标,从而发现给定数据集中的K个类,且每个类的中心是根据类中所有值的均值得到,每个类用聚类中心来描述。对于给定的一个包含n个d维数据点的数据集X以及要分得的类别K,选取欧式距离作为相似度指标,聚类目标是使得各类的聚类平方和最小,即最小化:

结合最小二乘法和拉格朗日原理,聚类中心为对应类别中各数据点的平均值,同时为了使得算法收敛,在迭代过程中,应使最终的聚类中心尽可能的不变。
4. 算法流程
K-means是一个反复迭代的过程,算法分为四个步骤:
1) 选取数据空间中的K个对象作为初始中心,每个对象代表一个聚类中心;
2) 对于样本中的数据对象,根据它们与这些聚类中心的欧氏距离,按距离最近的准则将它们分到距离它们最近的聚类中心(最相似)所对应的类;
3) 更新聚类中心:将每个类别中所有对象所对应的均值作为该类别的聚类中心,计算目标函数的值;
4) 判断聚类中心和目标函数的值是否发生改变,若不变,则输出结果,若改变,则返回2)。
用以下例子加以说明:

图1 图2

图3 图4
图1:给定一个数据集;
图2:根据K = 5初始化聚类中心,保证 聚类中心处于数据空间内;
图3:根据计算类内对象和聚类中心之间的相似度指标,将数据进行划分;
图4:将类内之间数据的均值作为聚类中心,更新聚类中心。
最后判断算法结束与否即可,目的是为了保证算法的收敛。
二 python实现
直接上代码:
Last updated