enlarge_bs
大家好,我是灿视。
这道题是之前在我之前的那个AttackOnAIer上发过的一题,来自群友在商汤面试的真题,今天重新梳理下,供大家参考。
问: 在Backbone不变的情况下,若显存有限,如何增大训练时的batchsize?
现在给出一些回答,供各位参考哈~ 如果各位有别的想法,可以在留言区留言哈!
使用Trick,节省显寸
使用inplace操作,比如relu激活函数,我们可以使用inplace=True
每次循环结束时候,我们可以手动删除loss,但是这样的操作,效果有限。
使用float16混合精度计算,据有关人士测试过,使用apex,能够节省将近50%的显存,但是还是要小心mean与sum会溢出的操作。
训练过程中的显存占用包括前向与反向所保存的值,所以在我们不需要bp的forward的时候,我们可以使用torch.no_grad()。
torch.cuda.empty_cache() 这是del的进阶版,使用nvidia-smi 会发现显存有明显的变化。但是训练时最大的显存占用似乎没变。大家可以试试。
如使用将batchsize=32这样的操作,分成两份,进行forward,再进行backward,不过这样会影响batchnorm与batchsize相关的层。yolo系列cfg文件里面有一个参数就是将batchsize分成几个sub batchsize的。
使用pooling,减小特征图的size,如使用GAP等来代替FC等。
optimizer的变换使用,理论上,显寸占用情况 sgd<momentum<adam,可以从计算公式中看出有额外的中间变量。
从反传角度考虑
《Training Deep Nets with Sublinear Memory Cost》
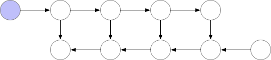
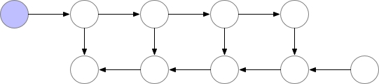
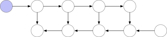
参考陈天奇老师的文章。在训练的时候,CNN的主要开销来自于储存用于计算 backward 的 activation,一般的 workflow 是这样的:

对于一个长度为 N 的 CNN,需要 O(N) 的内存。这篇论文给出了一个思路,每隔 sqrt(N) 个 node 存一个 activation,中需要的时候再算,这样显存就从 O(N) 降到了 O(sqrt(N))。
对于越深的模型,这个方法省的显存就越多,且速度不会明显变慢。其中$pytorch$本身也有$torch.utils.checkpoint$这样的函数实现一样的功能。
补充
对于题目而言,是为了增大$Batch$ $size$。同样,如果显存真的特别有限,我们怎么办呢?
我们也可以将小$batch$ $size$的数据达到大$batch$ $size$的效果。
举个例子,假设由于显存限制$DataLoader$的$batch$ $size$只能设为4,想要通过梯度累积实现$batch$ $size$等于16,这需要进行四次迭代,每次迭代的$loss$除以4,这里给一个参考代码:
for i,(images,target) in enumerate(train_loader):
# 1. input output
images = images.cuda(non_blocking=True)
target = torch.from_numpy(np.array(target)).float().cuda(non_blocking=True)
outputs = model(images)
loss = criterion(outputs,target)
# 2.1 loss regularization
loss = loss/accumulation_steps
# 2.2 back propagation
loss.backward()
# 3. update parameters of net
if((i+1)%accumulation_steps)==0:
# optimizer the net
optimizer.step() # update parameters of net
optimizer.zero_grad() # reset gradient
首先,获取$loss$, 在计算当前梯度,不过我们暂先不清空梯度,是梯度加在已有梯度上。当梯度累加到了一定次数之后,使用$optimizer.step()$将累计的梯度来更新参数。
一定条件下,$batch$ $size$越大训练效果越好,梯度累加则实现了$batch$ $size$的变相扩大。但,增大$bs$的同时,需要我们适当方法学习率。
不过使用$accumulation_step=8$的效果是不如真实的$batch$ $size$放大8倍。因为增大$8$倍$batch$ $size$的图片,其$sunning_mean$与$running_var$更加准确。
Last updated