为什么深度学习模型初始化参数不能为0
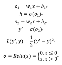
设有一个两层(一层隐含层,一层输出层)的深度学习回归模型,我们的激活函数设置为relu,我们的损失函数用均方误差,模型构造方程如下:

那么此时,如果我们初始化参数全部为0的话,上述模型的前向传播结果为:

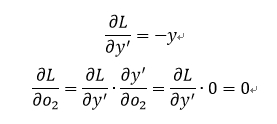
然后,我们再对原方程进行反向传播计算。
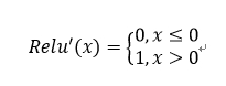
我们先得到Relu函数的导数:

然后使用链式求导计算:

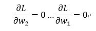
由于此处偏导已经为0,那么后续的偏导数求解均为0,即(此处不再详细推导):

也就是说,我们的参数是无法更新的,那么结果也就导致我们的模型时无法很好的拟合,这个现象类似于“梯度弥散”,即当我们的偏导数为0时,我们无法对模型参数进行求解,也就导致模型训练失败(其他激活函数,大家可以试着按照上面的解析过程自行推导)。
因此,在进行深度学习模型训练时,我们在进行参数初始化一定要切记不能初始化为0,否则后果很严重。
Last updated