Normalization汇总!!!
1. 对数据部分做归一化
主要且常用的归一化操作有BN,LN,IN,GN,示意图如图所示。

图中的蓝色部分,表示需要归一化的部分。其中两维$C$和$N$分别表示$channel$和$batch$ $size$,第三维表示$H$,$W$,可以理解为该维度大小是$H*W$,也就是拉长成一维,这样总体就可以用三维图形来表示。可以看出$BN$的计算和$batch$ $size$相关(蓝色区域为计算均值和方差的单元),而$LN$、$BN$和$GN$的计算和$batch$ $size$无关。同时$LN$和$IN$都可以看作是$GN$的特殊情况($LN$是$group$=1时候的$GN$,$IN$是$group=C$时候的$GN$)。
Batch Normalization;
$BN$的简单计算步骤为:
沿着通道计算每个batch的均值$\mu=\frac{1}{m} \sum_{i=1}^{m} x_{i}$。
沿着通道计算每个$batch$的方差$\delta^{2}=\frac{1}{m} \sum_{i=1}^{m}\left(x_{i}-\mu_{\mathcal{B}}\right)^{2}$。
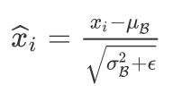
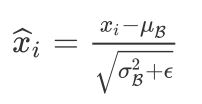
对x做归一化,

加入缩放和平移变量$\gamma$和$\beta$ ,归一化后的值,$y_{i} \leftarrow \gamma \widehat{x}_{i}+\beta$
$BN$适用于判别模型中,比如图片分类模型。因为$BN$注重对每个$batch$进行归一化,从而保证数据分布的一致性,而判别模型的结果正是取决于数据整体分布。但是$BN$对$batchsize$的大小比较敏感,由于每次计算均值和方差是在一个$batch$上,所以如果$batchsize$太小,则计算的均值、方差不足以代表整个数据分布。(其代码见下BN的前向与反向的代码详解!)
在训练过程之中,我们主要是通过滑动平均这种Trick的手段来控制变量更新的速度。
def batchnorm_forward(x, gamma, beta, bn_param):
"""
Input:
- x: (N, D)维输入数据
- gamma: (D,)维尺度变化参数
- beta: (D,)维尺度变化参数
- bn_param: Dictionary with the following keys:
- mode: 'train' 或者 'test'
- eps: 一般取1e-8~1e-4
- momentum: 计算均值、方差的更新参数
- running_mean: (D,)动态变化array存储训练集的均值
- running_var:(D,)动态变化array存储训练集的方差
Returns a tuple of:
- out: 输出y_i(N,D)维
- cache: 存储反向传播所需数据
"""
mode = bn_param['mode']
eps = bn_param.get('eps', 1e-5)
momentum = bn_param.get('momentum', 0.9)
N, D = x.shape
# 动态变量,存储训练集的均值方差
running_mean = bn_param.get('running_mean', np.zeros(D, dtype=x.dtype))
running_var = bn_param.get('running_var', np.zeros(D, dtype=x.dtype))
out, cache = None, None
# TRAIN 对每个batch操作
if mode == 'train':
sample_mean = np.mean(x, axis = 0)
sample_var = np.var(x, axis = 0)
x_hat = (x - sample_mean) / np.sqrt(sample_var + eps)
out = gamma * x_hat + beta
cache = (x, gamma, beta, x_hat, sample_mean, sample_var, eps)
#滑动平均(影子变量)这种Trick的引入,目的是为了控制变量更新的速度,防止变量的突然变化对变量的整体影响,这能提高模型的鲁棒性。
running_mean = momentum * running_mean + (1 - momentum) * sample_mean
running_var = momentum * running_var + (1 - momentum) * sample_var
# TEST:要用整个训练集的均值、方差
elif mode == 'test':
x_hat = (x - running_mean) / np.sqrt(running_var + eps)
out = gamma * x_hat + beta
else:
raise ValueError('Invalid forward batchnorm mode "%s"' % mode)
bn_param['running_mean'] = running_mean
bn_param['running_var'] = running_var
return out, cache
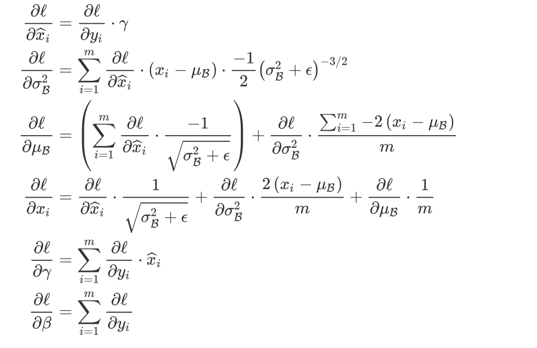
下面来一个背诵版本:

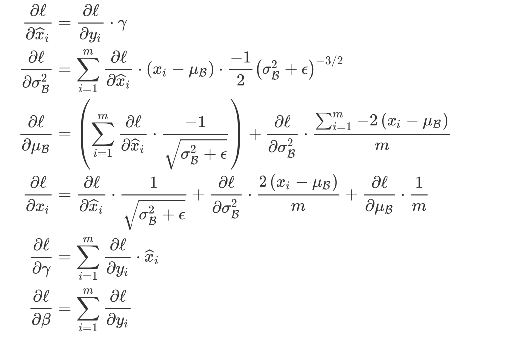
因此,$BN$的反向传播代码如下:
def batchnorm_backward(dout, cache):
"""
Inputs:
- dout: 上一层的梯度,维度(N, D),即 dL/dy
- cache: 所需的中间变量,来自于前向传播
Returns a tuple of:
- dx: (N, D)维的 dL/dx
- dgamma: (D,)维的dL/dgamma
- dbeta: (D,)维的dL/dbeta
"""
x, gamma, beta, x_hat, sample_mean, sample_var, eps = cache
N = x.shape[0]
dgamma = np.sum(dout * x_hat, axis = 0)
dbeta = np.sum(dout, axis = 0)
dx_hat = dout * gamma
dsigma = -0.5 * np.sum(dx_hat * (x - sample_mean), axis=0) * np.power(sample_var + eps, -1.5)
dmu = -np.sum(dx_hat / np.sqrt(sample_var + eps), axis=0) - 2 * dsigma*np.sum(x-sample_mean, axis=0)/ N
dx = dx_hat /np.sqrt(sample_var + eps) + 2.0 * dsigma * (x - sample_mean) / N + dmu / N
return dx, dgamma, dbeta那么为啥要用$BN$呢?$BN$的作用如下:
$BN$加快网络的训练与收敛的速度
在深度神经网络中中,如果每层的数据分布都不一样的话,将会导致网络非常难收敛和训练。如果把每层的数据都在转换在均值为零,方差为1 的状态下,这样每层数据的分布都是一样的训练会比较容易收敛。
控制梯度爆炸防止梯度消失
以$sigmoid$函数为例,$sigmoid$函数使得输出在$[0,1]$之间,实际上当 输入过大或者过小,经过sigmoid函数后输出范围就会变得很小,而且反向传播时的梯度也会非常小,从而导致梯度消失,同时也会导致网络学习速率过慢;同时由于网络的前端比后端求梯度需要进行更多次的求导运算,最终会出现网络后端一直学习,而前端几乎不学习的情况。Batch Normalization (BN) 通常被添加在每一个全连接和激励函数之间,使数据在进入激活函数之前集中分布在0值附近,大部分激活函数输入在0周围时输出会有加大变化。
同样,使用了$BN$之后,可以使得权值不会很大,不会有梯度爆炸的问题。
防止过拟合
在网络的训练中,BN的使用使得一个$minibatch$中所有样本都被关联在了一起,因此网络不会从某一个训练样本中生成确定的结果,即同样一个样本的输出不再仅仅取决于样本的本身,也取决于跟这个样本同属一个$batch$的其他样本,而每次网络都是随机取$batch$,比较多样,可以在一定程度上避免了过拟合。
Instance Normalization
IN适用于生成模型中,比如图片风格迁移。因为图片生成的结果主要依赖于某个图像实例,所以对整个$batch$归一化不适合图像风格化中,在风格迁移中使用$Instance $ $Normalization$。不仅可以加速模型收敛,并且可以保持每个图像实例之间的独立。
当然,其前向反向的推导与$BN$相似,无非是维度的问题了~
$Instance$ $ Norm$代码如下所示:
def Instancenorm(x, gamma, beta):
# x_shape:[B, C, H, W]
results = 0.
eps = 1e-5
x_mean = np.mean(x, axis=(2, 3), keepdims=True)
x_var = np.var(x, axis=(2, 3), keepdims=True0)
x_normalized = (x - x_mean) / np.sqrt(x_var + eps)
results = gamma * x_normalized + beta
return resultsLayer Normalization
$LN$是指对同一张图片的同一层的所有通道进行$Normalization$操作。与上面的计算方式相似,计算均值与方差,在计算缩放和平移变量$\gamma$和$\beta$。$LN$ 主要用在$NLP$任务中,当然,像$Transformer$中存在的就是$LN$。
def Layernorm(x, gamma, beta):
# x_shape:[B, C, H, W]
results = 0.
eps = 1e-5
x_mean = np.mean(x, axis=(1, 2, 3), keepdims=True)
x_var = np.var(x, axis=(1, 2, 3), keepdims=True0)
x_normalized = (x - x_mean) / np.sqrt(x_var + eps)
results = gamma * x_normalized + beta
return results为什么RNN中不使用BN?
$RNN$可以展开成一个隐藏层共享参数的$MLP$,随着时间片的增多,展开后的$MLP$的层数也在增多,最终层数由输入数据的时间片的数量决定,所以$RNN$是一个动态的网络。在$RNN$网络中,一个$batch$的数据中,通常各个样本的长度都是不同的。往往在最后时刻,只有少量样本有数据,基于这个样本的统计信息不能反映全局分布,所以这时$BN$的效果并不好。
而当将$LN$添加到$CNN$之后,实验结果发现$LN$破坏了卷积学习到的特征,模型无法收敛,所以在$CNN$之后使用$BN$是一个更好的选择。
对于$LN$与$BN$ 而言,$BN$取的是不同样本的同一个特征,而$LN$取的是同一个样本的不同特征。在$BN$和$LN$都能使用的场景中,$BN$的效果一般优于$LN$,原因是基于不同数据,同一特征得到的归一化特征更不容易损失信息。但是有些场景是不能使用$BN$的,例如$batchsize$较小或者在$RNN$中,这时候可以选择使用$LN$,$LN$得到的模型更稳定且起到正则化的作用。$RNN$能应用到小批量和$RNN$中是因为$LN$的归一化统计量的计算是和$batchsize$没有关系的。
Group Normalization
$Group$ $Normalization$($GN$)是针对$Batch$ $ Normalization$(BN)在$batch$ $ size$较小时错误率较高而提出的改进算法,因为$BN$层的计算结果依赖当前$batch$的数据,当$batch$ $ size$较小时(比如2、4这样),该$batch$数据的均值和方差的代表性较差,因此对最后的结果影响也较大。
其中,$GN$是将通道数$C$分成$G$份,每份$C//G$,当$G=1$时,每份$G$个,所以为一整块的$C$,即为$LN$ 。当$G=C$时,每份只有$1$个,所以为$IN$。
$GN$是指对同一张图片的同一层的某几个(不是全部)通道一起进行$Normalization$操作。这几个通道称为一个$Group$。计算相应的均值以及方差,计算缩放和平移变量$\gamma$和$\beta$。 其代码如下所示:
def GroupNorm(x, gamma, beta, G=16):
# x_shape:[B, C, H, W]
# gamma, beta, scale, offset : [1, c, 1, 1]
# G: num of groups for GN
results = 0.
eps = 1e-5
x = np.reshape(x, (x.shape[0], G, x.shape[1]/16, x.shape[2], x.shape[3]))
x_mean = np.mean(x, axis=(2, 3, 4), keepdims=True)
x_var = np.var(x, axis=(2, 3, 4), keepdims=True0)
x_normalized = (x - x_mean) / np.sqrt(x_var + eps)
results = gamma * x_normalized + beta
return resultsSwitchable Normalization
$SN$中表明了一个观点:$BN$层的成功和协方差什么的没有关联!证明这种层输入分布稳定性与 $BN$ 的成功几乎没有关系。相反,实验发现 $BN$ 会对训练过程产生更重要的影响:它使优化解空间更加平滑了。这种平滑使梯度更具可预测性和稳定性,从而使训练过程更快。
$SN$的具体做法可以从图中看出来:

论文中认为:
第一,归一化虽然提高模型泛化能力,然而归一化层的操作是人工设计的。在实际应用中,解决不同的问题原则上需要设计不同的归一化操作,并没有一个通用的归一化方法能够解决所有应用问题;
第二,一个深度神经网络往往包含几十个归一化层,通常这些归一化层都使用同样的归一化操作,因为手工为每一个归一化层设计操作需要进行大量的实验。
而与强化学习不同,$SN$使用可微分学习,为一个深度网络中的每一个归一化层确定合适的归一化操作。
$SN$算法是为三组不同的 $\mu_{k}$ 以及$\sigma_{k}$ 分别学习三个总共6个标量值( $w_{k}$ 和$w_{k}^{\prime}$ ),$h_{n c i j}$表示一个输入维度为$n,c,i,j$的特征图,$\hat{h}_{n c i j}$为归一化之后的特征图。

其中 $\Omega={i n, l n, b n}$ 。在计算 $(\mu_{\ln }, \sigma_{\ln })$ 和 $(\mu_{b n}, \sigma_{b n})$ 时,我们可以使用 $(\mu_{i n}, \sigma_{i n})$ 作为中间变量以减少计算量。
$\mu_{\mathrm{in}}=\frac{1}{H W} \sum_{i, j}^{H, W} h_{n c i j}, \quad \sigma_{\mathrm{in}}^{2}=\frac{1}{H W} \sum_{i, j}^{H, W}\left(h_{n c i j}-\mu_{\mathrm{in}}\right)^{2}$ $\mu_{\mathrm{ln}}=\frac{1}{C} \sum_{c=1}^{C} \mu_{\mathrm{in}}, \quad \sigma_{\mathrm{ln}}^{2}=\frac{1}{C} \sum_{c=1}^{C}\left(\sigma_{\mathrm{in}}^{2}+\mu_{\mathrm{in}}^{2}\right)-\mu_{\mathrm{ln}}^{2}$ $\mu_{\mathrm{bn}}=\frac{1}{N} \sum_{n=1}^{N} \mu_{\mathrm{in}}, \quad \sigma_{\mathrm{bn}}^{2}=\frac{1}{N} \sum_{n=1}^{N}\left(\sigma_{\mathrm{in}}^{2}+\mu_{\mathrm{in}}^{2}\right)-\mu_{\mathrm{bn}}^{2}$
$w_{k}$ 是通过softmax计算得到的激活函数:
$w_{k}=\frac{e^{\lambda_{k}}}{\sum_{z \in \mathrm{in}, \ln , \mathrm{bn}} e^{\lambda_{z}}} \quad$ and $\quad k \in{\mathrm{in}, \ln , \mathrm{bn}}$

代码如下:
def SwitchableNorm(x, gamma, beta, w_mean, w_var):
# x_shape:[B, C, H, W]
results = 0.
eps = 1e-5
mean_in = np.mean(x, axis=(2, 3), keepdims=True)
var_in = np.var(x, axis=(2, 3), keepdims=True)
mean_ln = np.mean(x, axis=(1, 2, 3), keepdims=True)
var_ln = np.var(x, axis=(1, 2, 3), keepdims=True)
mean_bn = np.mean(x, axis=(0, 2, 3), keepdims=True)
var_bn = np.var(x, axis=(0, 2, 3), keepdims=True)
mean = w_mean[0] * mean_in + w_mean[1] * mean_ln + w_mean[2] * mean_bn
var = w_var[0] * var_in + w_var[1] * var_ln + w_var[2] * var_bn
x_normalized = (x - mean) / np.sqrt(var + eps)
results = gamma * x_normalized + beta
return results值得一提的是在测试的时候,在$SN$的$BN$部分,它使用的是一种叫做**批平均(**batch average)的方法,它分成两步:1.固定网络中的$SN$层,从训练集中随机抽取若干个批量的样本,将输入输入到网络中;2.计算这些批量在特定SN层的 $\mu$ 和 $\sigma$ 的平均值,它们将会作为测试阶段的均值和方差。实验结果表明,在$SN$中批平均的效果略微优于滑动平均。
2. 对模型权重做归一化
Weight Normalization
$Weight$ $ Normalization(WN)$是在权值的维度上做的归一化。$WN$做法是将权值向量 $w$在其欧氏范数和其方向上解耦成了参数向量 $v$和参数标量$g$ 后使用$SGD$分别优化这两个参数。
$WN$也是和样本量无关的,所以可以应用在$batchsize$较小以及$RNN$等动态网络中;另外$BN$使用的基于$mini-batch$的归一化统计量代替全局统计量,相当于在梯度计算中引入了噪声。而$WN$则没有这个问题,所以在生成模型与强化学习等噪声敏感的环境中$WN$的效果也要优于$BN$。
$WN$的计算过程:
对于神经网络而言,一个节点的计算过程可以表达为:
其中$w$是与该神经元连接的权重,通过损失函数与梯度下降对网络进行优化的过程就是求解最优$w$的过程。将$w$的长度与方向解耦,可以将$w$表示为:
$y=\phi(w * x+b)$ $w$ 为与该神经元连接的权重,通过损失函数与梯度下降对网络进行优化的过程就是求解最优 $w$ 的 过程。将 $w$ 的长度与方向解塊,可以将 $w$ 表示为 $w=\frac{g}{|v|} v$
其中 $g$ 为标量,其大小等于 $w$ 的模长, $\frac{v}{|v|}$ 为与 $w$ 同方向的单位向量,此时,原先训练过程 中 $w$ 的学习转化为 $g$ 和 $v$ 的学习。假设损失函数以 $L$ 表示,则 $L$ 对 $g$ 和 $v$ 的梯度可以分别 表示为, $\nabla_{g} L=\nabla_{g} w *\left(\nabla_{w} L\right)^{T}=\frac{\nabla_{w} L * v^{T}}{|v|}$ $\nabla_{v} L=\nabla_{v} w * \nabla_{w} L=\frac{\partial \frac{g * v}{|v|}}{\partial v} * \nabla_{w} L=\frac{g *|v|}{|v|^{2}} * \nabla_{w} L-\frac{g * v * \frac{\partial|v|}{\partial v}}{|v|^{2}} * \nabla_{w} L$ 因为 $\frac{\partial|v|}{v}=\frac{\partial\left(v^{T} * v\right)^{0.5}}{\partial v}=0.5 *\left(v^{T} * v\right)^{-0.5} * \frac{\partial\left(v^{T} * v\right)}{\partial v}=\frac{v}{|v|}$ 所以 $\nabla_{v} L=\frac{g}{|v|} * \nabla_{w} L-\frac{g * \nabla_{g} L}{|v|^{2}} * v=\frac{g}{|v|} * M_{w} * \nabla_{w} L$
其中 $M_{w}=I-\frac{w * w^{T}}{|w|^{2}}$,与向量点乘可以投影任意向量至 $w$ 的补空间。相对于原先的$\nabla_{w} L, \quad \nabla_{v} L$进行了$\frac{g}{|v|}$的缩放与$M_{w}$的投影。这两者都对优化过程起到作用。
对于$v$而言,$v^{\text {new }}=v+\Delta v$, 因为 $\Delta v \propto \nabla_{v} L$ ,所以 $\Delta v$ 与 $v$ 正交。
假设,$\frac{|\Delta v|}{|v|}=c$, 则 $\left|v^{n e w}\right|=\sqrt{|v|^{2}+c^{2}|v|^{2}}=\sqrt{1+c^{2}}|v| \geq|v|, \quad \nabla_{v} L$ 可以影响$v$ 模长的增长,同时 $v$ 的模长也影响 $\nabla_{v} L$ 的大小。
因此,我们可以得到:
$\frac{g}{|\mathbf{v}|}$表明$WN$会对权重梯度进行$\frac{g}{|\mathbf{v}|}$的缩放。
$M_{\mathbf{w}} \nabla_{\mathbf{w}} L$表明WN会将梯度投影到一个远离于$\nabla_{\mathbf{w}} L$的方向。
代码可以参考:
import torch.nn as nn
import torch.nn.functional as F
# 以一个简单的单隐层的网络为例
class Model(nn.Module):
def __init__(self, input_dim, output_dim, hidden_size):
super(Model, self).__init__()
# weight_norm
self.dense1 = nn.utils.weight_norm(nn.Linear(input_dim, hidden_size))
self.dense2 = nn.utils.weight_norm(nn.Linear(hidden_size, output_dim))
def forward(self, x):
x = self.dense1(x)
x = F.leaky_relu(x)
x = self.dense2(x)
return xSpectral Normalization
首先看下这个图,了解下一个数学概念叫做Lipschitz 连续性:

$Lipschitz$ 条件限制了函数变化的剧烈程度,即函数的梯度。在一维空间中,很容易看出$ y=sin(x)$ 是$ 1-Lipschitz$的,它的最大斜率是 1。
如$y=x$与$y=-x$的斜率是$1$与$-1$,$sin(x)$求导是$cosx(x)$,值域为$[0,1]$.
在$GAN$中,假设我们有一个判别器 $D: I \rightarrow \mathbb{R}$ ,其中 $I$是图像空间。如果判别器是 $K-Lipschitz continuous$ 的,那么对图像空间中的任意$ x$ 和$ y$,有:
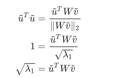
其中$|\cdot|$为$L_{2}$ norm,如果$ K$ 取到最小值,那么$ K$ 被称为$ Lipschitz$ $ constant$。
首先抛出结论:
矩阵$A$除以它的 spectral norm ($A^{T} A$最大特征值的开根号$\sqrt{\lambda_{1}}$)可以使其具有$ 1-Lipschitz$ $ continuity$。
那么$Spectral$ $Normalization$的具体做法如下:
将神经网络的每一层的参数 $W$ 作$ SVD$ 分解,然后将其最大的奇异值限定为$1$,满足$1-Lipschitz$条件。
在每一次更新$W$之后都除以$W$最大的奇异值。 这样,每一层对输入 $x$ 最大的拉伸系数不会超过 $1$。
经过$Spectral$ $ Norm$ 之后,神经网络的每一层$g_{l}(x)$ 权重,都满足
对于整个神经网络 $f(x)=g_{N}\left(g_{N-1}\left(\ldots g_{1}(x) \ldots\right)\right)$自然也就满足利普希茨连续性了
在每一次训练迭代中,都对网络中的每一层都进行$SVD$分解,是不现实的,尤其是当网络权重维度很大的时候。我们现在可以使用一种叫做$power$ $iteration$的算法。
$Power$ $ iteration$ 是用来近似计算矩阵最大的特征值($dominant$ $ eigenvalue$ 主特征值)和其对应的特征向量(主特征向量)的。
假设矩阵$A$是一个$n$ x $n$的满秩的方阵,它的单位特征向量为$v_{1}, v_{2}, … v_{n}$,对于的特征值为$\lambda_{1}, \lambda_{2}, …\lambda_{n}$。那么任意向量$x=x_{1} * v_{1} + x_{2} * v_{2} + … x_{n} * v_{n}$。则有:
我们通过$k$次迭代:

image
同样,我们可以得到:

具体的代码实现过程中,可以随机初始化一个噪声向量代入公式 (13) 。由于每次更新参数的$ step$ $ size$ 很小,矩阵 W 的参数变化都很小,矩阵可以长时间维持不变。
因此,可以把参数更新的 $step$ 和求矩阵最大奇异值的$ step$ 融合在一起,即每更新一次权重$ W$ ,更新一次和,并将矩阵归一化一次。
代码如下:
import torch
from torch.optim.optimizer import Optimizer, required
import torch.nn.functional as F
from torch import nn
from torch import Tensor
from torch.nn import Parameter
def l2normalize(v, eps=1e-12):
return v / (v.norm() + eps)
class SpectralNorm(nn.Module):
def __init__(self, module, name='weight', power_iterations=1):
super(SpectralNorm, self).__init__()
self.module = module
self.name = name
self.power_iterations = power_iterations
if not self._made_params():
self._make_params()
def _update_u_v(self):
u = getattr(self.module, self.name + "_u")
v = getattr(self.module, self.name + "_v")
w = getattr(self.module, self.name + "_bar")
height = w.data.shape[0]
for _ in range(self.power_iterations):
v.data = l2normalize(torch.mv(torch.t(w.view(height,-1).data), u.data))
u.data = l2normalize(torch.mv(w.view(height,-1).data, v.data))
# sigma = torch.dot(u.data, torch.mv(w.view(height,-1).data, v.data))
sigma = u.dot(w.view(height, -1).mv(v))
setattr(self.module, self.name, w / sigma.expand_as(w))
def _made_params(self):
try:
u = getattr(self.module, self.name + "_u")
v = getattr(self.module, self.name + "_v")
w = getattr(self.module, self.name + "_bar")
return True
except AttributeError:
return False
def _make_params(self):
w = getattr(self.module, self.name)
height = w.data.shape[0]
width = w.view(height, -1).data.shape[1]
u = Parameter(w.data.new(height).normal_(0, 1), requires_grad=False)
v = Parameter(w.data.new(width).normal_(0, 1), requires_grad=False)
u.data = l2normalize(u.data)
v.data = l2normalize(v.data)
w_bar = Parameter(w.data)
del self.module._parameters[self.name]
self.module.register_parameter(self.name + "_u", u)
self.module.register_parameter(self.name + "_v", v)
self.module.register_parameter(self.name + "_bar", w_bar)
def forward(self, *args):
self._update_u_v()
return self.module.forward(*args)
Last updated