sigmoid与softmax的区别与联系
Softmax与Sigmoid有哪些区别与联系?
1. Sigmoid函数
$Sigmoid$函数也叫$Logistic$函数,将输入值压缩到$(0,1)$区间之中,其函数表达式为:
函数图像如图所示:

其求导之后的表达式为:
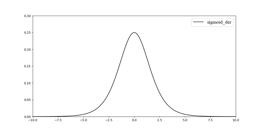
其梯度的导数图像如:

对于$Sigmoid$函数,其优点为:
$Sigmoid$函数的输出在$(0,1)$之间,我们通常把它拿来作为一个二分类的方案。其输出范围有限,可以用作输出层,优化稳定。
$Sigmoid$函数是一个连续函数,方便后续求导。
其缺点为:
从函数的导函数可以得到,其值范围为(0, 0.25),存在梯度消失的问题。
$Sigmoid$函数不是一个零均值的函数,导致后一层的神经元将得到上一层非$0$均值的信号作为输入,从而会对梯度产生影响。
$Sigmoid$函数是一个指数函数的激活函数,我们把每次基本运算当作一次$FLOPs$(Floating Point Operations Per Second),则$Sigmod$函数包括求负号,指数运算,加法与除法等4$FLOPs$的运算量,预算量较大。而如$Relu(x)=max(0, x)$,为$1FLOPs$。
**对于非互斥的多标签分类任务,且我们需要输出多个类别。如一张图我们需要输出是否是男人,是否戴了眼镜,我们可以采用$Sigmoid$函数来输出最后的结果。**如最后$Sigmoid$的输出为$[0.01, 0.02, 0.41, 0.62, 0.3, 0.18, 0.5, 0.42, 0.06, 0.81]$,我们通过设置一个概率阈值,比如$0.3$,如果概率值大于$0.3$,则判定类别符合,那么该输入样本则会被判定为类别$3$、类别$4$、类别$5$、类别$7$及类别$8$,即一个样本具有多个标签。
2. Softmax函数
$Softmax$函数又称归一化指数函数,函数表达式为:
其中,$i \in [1, n]$。$\sum_{i} y_{i}=1$。如网络输出为$[-20, 10, 30]$,则经过$Softmax$层之后,输出为$[1.9287e-22, 2.0612e-09, 1.0000e+00]$。
对于$Softmax$,往往我们会在面试的时候,需要手写$Softmax$函数,这里给出一个参考版本。
import numpy as np
def softmax( f ):
# 为了防止数值溢出,我们将数值进行下处理
# f: 输入值
f -= np.max(f) # f becomes [-666, -333, 0]
return np.exp(f) / np.sum(np.exp(f)) 针对$Softmax$函数的反向传播,这里给出手撕反传的推导过程,主要是分两种情况:

因此,不失一般性,扩展成矩阵形式则为:
$\frac{\partial Y}{\partial X}=\operatorname{diag}(Y)-Y^{T} \cdot Y($ 当Y的shape为 $(1, \mathrm{n})$ 时)。后面在下一题中,我们会将$Softmax$与$Cross$ $Entropy$ $Loss$进行结合,再来推导前向与反向。
因此,当我们的任务是一个互斥的多类别分类任务(如imagenet分类),网络只能输出一个正确答案,我们可以用$Softmax$函数处理各个原始的输出值。从公式中,我们可以看到$Softmax$函数的分母是综合到了所有类别的信息。通常我们也会把$Softmax$函数的输出,这主要是由于$Softmax$函数先拉大了输入向量元素之间的差异(通过指数函数),然后才归一化为一个概率分布,在应用到分类问题时,它使得各个类别的概率差异比较显著,最大值产生的概率更接近$1$,这样输出分布的形式更接近真实分布当作网络的置信度。
对于$Softmax$函数而言,我们可以从不同的角度来理解它:
$Argmax$是一个暴力的找最大值的过程,最后的输出是以一个$One-hot$形式,将最大值的位置设置为$1$,其余为$0$。这样的话,则在网络训练中,是不可导的,我们采用$Softmax$看作是$Argmax$的平滑近似,从而可以使得网络可导。
$Softmax$将输入向量归一化映射到一个类别概率分布,即$n$个类别上的概率分布,因此我们常将$Softmax$放到$MLP$ 的最后一层。
从概率图角度,$Softmax$可以理解为一个概率无向图上的联合概率。
3. 联系
对于二分类任务而言,二者都可以达到目标,在理论上,没有什么区别。
举个栗子,如现在是二分类($x_{1},x_{2}$), 经过$Sigmoid$函数之后:
对于$Softmax$函数,则为:
对于$x_{1} - x_{2}$,我们可以使用一个$z_{1}$来进行替换,则替换成了:
该表达式与$Sigmoid(x_{1})$相同,理论上是相同的。
4. 区别
在我们进行二分类任务时,当我们使用$Sigmoid$函数,最后一层全连接层的神经元个数是$1$,神经网络的输出经过它的转换,可以将数值压缩到$(0,1)$之间,得到的结果可以理解成分类成目标类别的概率$P$,而不分类到该类别的概率是$(1 - P)$,这也是典型的两点分布的形式。
而使用$Softmax$函数则需要是两个神经元,一个是表示前景类的分类概率,另一个是背景类。此时,$Softmax$函数也就退化成了二项分布。
更简单一点理解,$Softmax$函数是对两个类别进行建模,其两个类别的概率之和是$1$。而$Sigmoid$ 函数是对于一个类别的建模,另一个类别可以通过1来相减得到。
$Sigmoid$得到的结果是“分到正确类别的概率和未分到正确类别的概率”,$Softmax$得到的是“分到正确类别的概率和分到错误类别的概率”。
Last updated